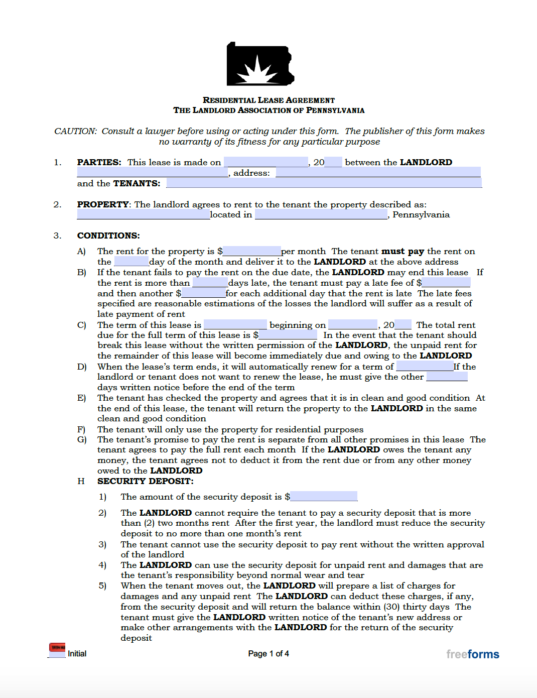
Are you looking for a free printable lease agreement in Pennsylvania? Look no further! Whether you’re a landlord renting out your property or a tenant looking to solidify your rental agreement, having a written lease is crucial for both parties. With a free printable lease agreement, you can easily outline the terms and conditions of the rental, providing clarity and protection for everyone involved.
Creating a lease agreement doesn’t have to be a complicated or expensive process. By utilizing a free printable lease agreement specific to Pennsylvania, you can customize the document to fit your unique rental situation. From outlining the rental period and monthly rent amount to detailing responsibilities for maintenance and utilities, a well-crafted lease agreement can help prevent misunderstandings and disputes down the line. Plus, having a written lease can provide legal protection in case any issues arise during the tenancy.
Customize Your Lease Agreement
When using a free printable lease agreement in Pennsylvania, you have the flexibility to tailor the document to suit your individual needs. Whether you need to add specific clauses related to pet policies, security deposits, or late rent fees, you can easily customize the agreement to address any unique aspects of your rental arrangement. By clearly outlining expectations and obligations for both parties, you can establish a solid foundation for a successful landlord-tenant relationship.
Additionally, a well-drafted lease agreement can help protect your rights as a landlord or tenant. By including important provisions regarding maintenance responsibilities, property access, and lease termination procedures, you can ensure that both parties are aware of their rights and obligations throughout the tenancy. With a free printable lease agreement in Pennsylvania, you can create a comprehensive and legally binding document that safeguards your interests and promotes a positive rental experience for everyone involved.



