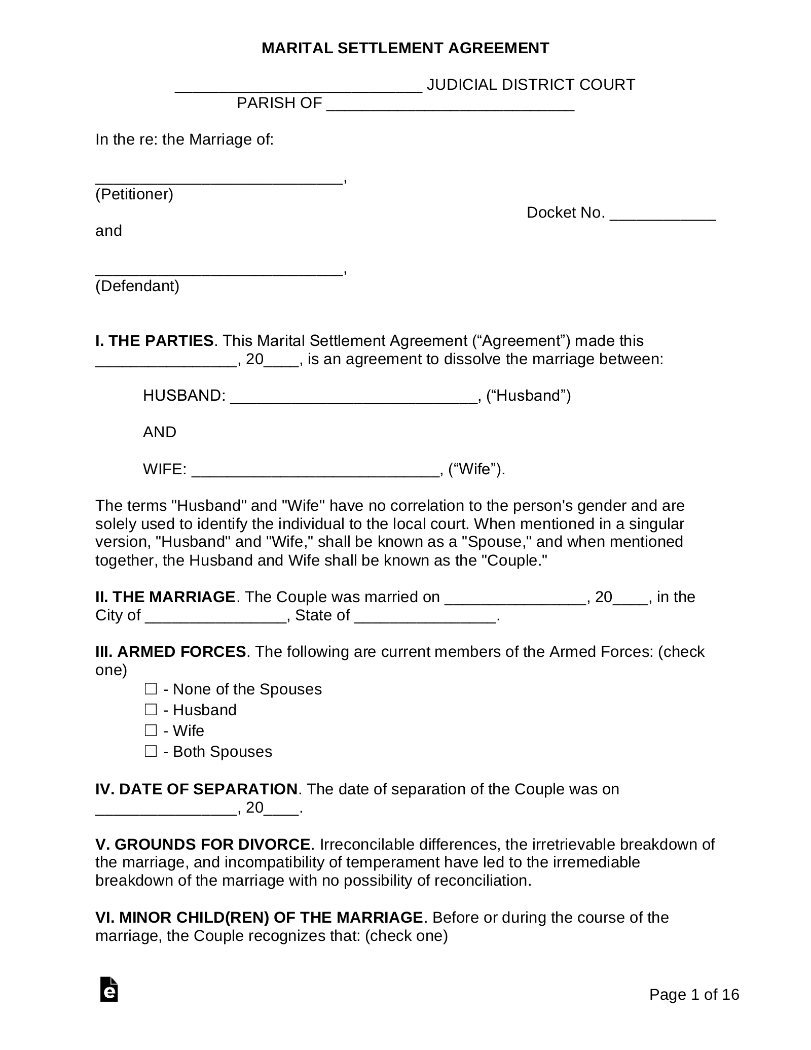
Are you looking for a convenient and cost-effective way to file for divorce in Louisiana? Look no further! Free printable divorce papers for Louisiana are readily available online, making the process of ending your marriage easier than ever. With these accessible resources, you can save time and money while navigating the often complex legal requirements of divorce proceedings.
Printing out your own divorce papers allows you to take control of your own legal process in a way that is both efficient and empowering. By utilizing these free resources, you can avoid the hassle and expense of hiring a lawyer to handle your case. Whether you are seeking an uncontested divorce or need to file for dissolution of marriage due to irreconcilable differences, printable divorce papers offer a simple and straightforward solution to your legal needs.
Streamline the Divorce Process
By using free printable divorce papers for Louisiana, you can streamline the divorce process and eliminate unnecessary stress and confusion. These documents are designed to be user-friendly and comprehensive, providing all the necessary information and forms required to file for divorce in the state. With step-by-step instructions and clear guidance, you can confidently navigate the legal system and ensure that your divorce is handled efficiently and effectively.
Printing out your own divorce papers also allows you to work at your own pace and on your own schedule. You can take the time to carefully review and fill out the forms, ensuring that all the necessary information is accurate and complete. This level of control and flexibility can help you feel more confident and empowered throughout the divorce process, leading to a smoother and more successful outcome.
Save Time and Money
One of the biggest advantages of using free printable divorce papers for Louisiana is the significant cost savings. By avoiding expensive legal fees and court costs, you can keep more money in your pocket during this challenging time. Additionally, by handling the paperwork yourself, you can expedite the divorce process and avoid unnecessary delays that can prolong the stress and uncertainty of ending your marriage.
Furthermore, by utilizing printable divorce papers, you can save valuable time that might otherwise be spent meeting with lawyers or waiting for court dates. Instead, you can focus on moving forward with your life and beginning the next chapter on your own terms. With these convenient resources at your fingertips, you can take control of your divorce proceedings and achieve a swift and amicable resolution that meets your needs and priorities.



