Are you looking to buy or sell a piece of property but don’t want to go through the hassle of dealing with a real estate agent or bank? Look no further than free printable land contract forms! These forms are a convenient and cost-effective way to transfer ownership of real estate between parties without the need for a traditional mortgage. Whether you’re a buyer or seller, using a land contract can simplify the process and save you time and money.
Benefits of Using Land Contract Forms
One of the main advantages of using land contract forms is the flexibility they offer to both buyers and sellers. With a land contract, the buyer can make payments directly to the seller over time, allowing for more manageable payment terms. This can be especially beneficial for buyers who may not qualify for a traditional mortgage or who simply prefer a more informal arrangement. Sellers, on the other hand, can benefit from receiving a steady stream of income over time without having to wait for a lump sum payment. Additionally, using a land contract can help streamline the buying process, as it eliminates the need for a bank or financial institution to get involved.
Another key benefit of using land contract forms is the ability to customize the terms of the agreement to suit the needs of both parties. Unlike traditional real estate transactions, which are often governed by strict rules and regulations, a land contract allows buyers and sellers to negotiate their own terms. This can include setting the purchase price, determining the payment schedule, and outlining any conditions or contingencies that need to be met. By using a free printable land contract form, both parties can easily outline these terms in writing, providing a clear and legally binding agreement for the sale of the property.
Where to Find Free Printable Land Contract Forms
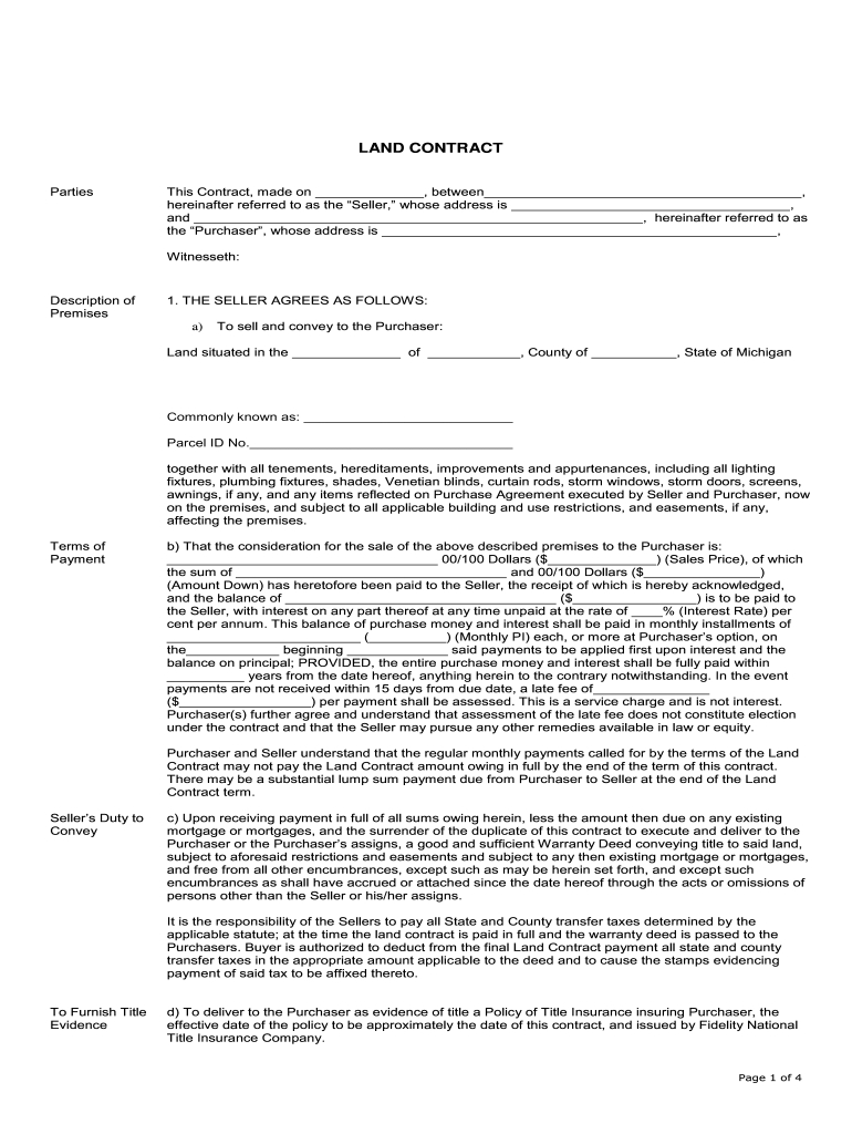
Luckily, there are plenty of resources available online where you can find free printable land contract forms. Websites like LegalZoom, Rocket Lawyer, and LawDepot offer a variety of templates that you can download and customize to suit your specific needs. These forms typically include all the necessary information required for a land contract, such as the names of the parties involved, the legal description of the property, the purchase price, and the terms of the agreement. By using one of these free templates, you can save time and money on legal fees and ensure that your land contract is properly structured and legally enforceable.
In addition to online resources, you can also consult with a real estate attorney to help you draft a land contract that meets your needs. While this option may incur additional costs, it can provide you with peace of mind knowing that your agreement is legally sound and properly structured. An attorney can also help you navigate any complex legal issues or disputes that may arise during the course of the land contract, ensuring that both parties are protected and the transaction proceeds smoothly. Whether you choose to use a free printable form or seek legal advice, using a land contract can be a simple and effective way to buy or sell real estate without the hassle of traditional financing options.
<”img” src="”https://free-printable-az.com/wp-content/uploads/2025/10/free-printable-land-contract-templates-word-pdf-simple-with-free-printable-land-contract-forms.jpg”" alt="”Free" 0="Printable" 1="Land" 2="Contract" 3="Templates" 4="[Word," 5="Pdf"/> Simple with Free Printable Land Contract Forms”]


