Are you looking to create a will but don’t want to spend money on legal fees? Look no further! Free printable will forms are a convenient and cost-effective way to ensure your final wishes are carried out. Whether you’re a young adult just starting to build your assets or a retiree wanting to protect your family’s future, having a will is crucial. With free printable will forms, you can easily draft a legally-binding document without breaking the bank.
Easy DIY Process
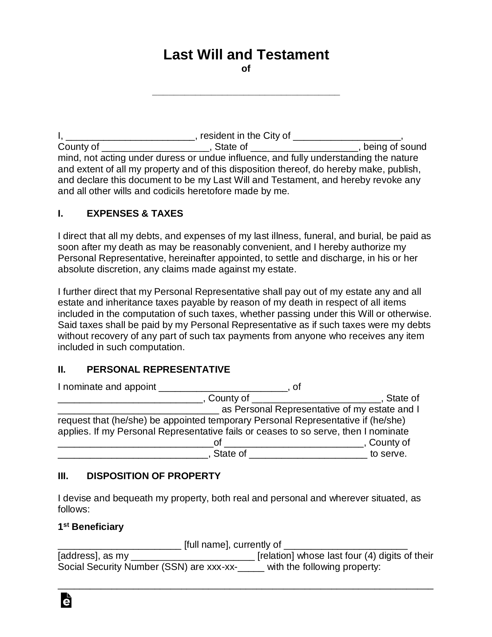
Creating a will can seem like a daunting task, but with free printable will forms, the process is simple and straightforward. These forms typically include sections for your personal information, beneficiaries, assets, and any specific instructions you may have. You can easily fill in the blanks and customize the document to fit your unique situation. Many online sources offer free templates that you can download and print at your convenience, making it easy to update your will as needed. By using these forms, you have the flexibility to make changes without incurring additional costs.
Moreover, free printable will forms often come with instructions or guidelines to help you navigate the process. These resources can provide valuable information on estate planning basics, such as choosing an executor, creating a trust, or designating guardians for minor children. With step-by-step guidance, you can feel confident in preparing your will without the need for expensive legal assistance. This DIY approach not only saves you money but also empowers you to take control of your legacy.
Peace of Mind for You and Your Loved Ones
Having a will in place gives you peace of mind knowing that your final wishes will be honored. By clearly outlining how you want your assets distributed, you can prevent potential conflicts among family members and ensure that your loved ones are taken care of. Free printable will forms allow you to specify who will inherit your belongings, money, or property, avoiding any confusion or disputes after your passing. This thoughtful gesture can provide comfort to your family during a difficult time and alleviate any uncertainty about your intentions.
Furthermore, creating a will with free printable forms can also help you minimize estate taxes and probate expenses. By planning ahead and organizing your assets, you can potentially reduce the financial burden on your heirs and expedite the distribution of your estate. This proactive approach not only benefits your beneficiaries but also simplifies the administration of your estate. With a well-crafted will, you can leave a lasting legacy and ensure that your wishes are carried out according to your desires.



